
Вы нашли документ, содержащийся в электронной базе документов - "ТЕХЭКСПЕРТ"!
Р 50.2.050-2005 ГСИ. Средства поверки одинакового уровня точности. Проверка качества поверочных и калибровочных работ посредством межлабораторных сличений. Алгоритмы обработки результатов измерений
Список продуктов
Данный раздел/документ содержится в продуктах:
Данный раздел/документ содержится в продуктах:
- Техэксперт: Нормы, правила, стандарты и законодательство России
- Техэксперт: Машиностроительный комплекс
- Техэксперт: Нефтегазовый комплекс
- Техэксперт: Электроэнергетика
- Стройэксперт. "Вариант Лидер"
- Техэксперт: Помощник Проектировщика
- Авиатор
- Техэксперт: Эксплуатация зданий
- Техэксперт: Экология. Проф
- Информационный канал "Техэксперт": "Реформа технического регулирования"
- Техэксперт: Промышленная безопасность
Поправка к Р 50.2.050-2005, опубликованная в ИУС N 6, 2009 год:
В каком месте |
Напечатано |
Должно быть |
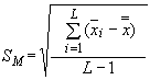
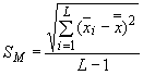
Пункт 5.2.1.2. Первый абзац |
|
|
Скачать документ нельзя - можно заказать Бесплатно! 1 документ
Документ будет отправлен на указанный Вами e-mail в течение 3 рабочих дней*
Часы работы: с Пн по Пт с 8:30 до 17:30 по московскому времени.
или
Посмотреть возможности крупнейшей электронной библиотеки "Техэксперт" - более 8 000 000 документов!
Подписка на полную версию «Указателя стандартов» через ФГУП «Стандартинформ» стоит 20 000 рублей.
При заказе демонстрации Вы получите доступ к его электронной версии совершенно бесплатно!




