
Вы нашли документ, содержащийся в электронной базе документов - "ТЕХЭКСПЕРТ"!
ГОСТ 22301-77 Провода медные обмоточные с термореактивным связующим. Технические условия (с Изменениями N 1, 2, с Поправкой)
Список продуктов
Данный раздел/документ содержится в продуктах:
Данный раздел/документ содержится в продуктах:
- Техэксперт: Нормы, правила, стандарты и законодательство России
- Нормы, правила, стандарты и законодательство по техническому регулированию
- ГОСТ 8325-78 Нити стеклянные крученые комплексные. Технические условия
- ГОСТ 8865-87 (СТ СЭВ 782-87) Изделия электротехнические. Классы нагревостойкости электротехнической изоляции (c Изменением N 1)
- ГОСТ 16774-2015 Трубы медные прямоугольного и квадратного сечений. Технические условия
- ГОСТ 16774-78 Трубы медные прямоугольного и квадратного сечения. Технические условия (с Изменениями N 1, 2, 3)
- Всё законодательство России
- Все нормы, правила, стандарты
- Классификаторы России
- Архив
- Нормы, правила, стандарты и законодательство по техническому регулированию
- Техэксперт: Машиностроительный комплекс
- Нормы, правила, стандарты и законодательство по техническому регулированию
- ГОСТ 8325-78 Нити стеклянные крученые комплексные. Технические условия
- ГОСТ 8865-87 (СТ СЭВ 782-87) Изделия электротехнические. Классы нагревостойкости электротехнической изоляции (c Изменением N 1)
- ГОСТ 16774-2015 Трубы медные прямоугольного и квадратного сечений. Технические условия
- ГОСТ 16774-78 Трубы медные прямоугольного и квадратного сечения. Технические условия (с Изменениями N 1, 2, 3)
- Классификаторы России
- Нормы, правила, стандарты в машиностроении
- Нормы, правила, стандарты и законодательство по техническому регулированию
- Техэксперт: Электроэнергетика
- Авиатор
- Техэксперт: Эксплуатация зданий
- Техэксперт: Экология. Проф
- Техэксперт: Нефтегазовый комплекс
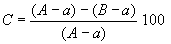
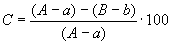
1. Поправка к ГОСТ 22301-77, опубликованная в ИУС N 10, 2010 год:
В каком месте |
Напечатано |
Должно быть |
Пункт 4.6. Формула |
|
|
2. Правила применения межгосударственных стандартов установлены п.8 ГОСТ 1.0-2015 "Межгосударственная система стандартизации. Основные положения".
Скачать документ нельзя - можно заказать Бесплатно! 1 документ
Документ будет отправлен на указанный Вами e-mail в течение 3 рабочих дней*
Часы работы: с Пн по Пт с 8:30 до 17:30 по московскому времени.
или
Посмотреть возможности крупнейшей электронной библиотеки "Техэксперт" - более 8 000 000 документов!
Подписка на полную версию «Указателя стандартов» через ФГУП «Стандартинформ» стоит 20 000 рублей.
При заказе демонстрации Вы получите доступ к его электронной версии совершенно бесплатно!



