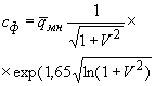
Фоновая концентрация
Список продуктов
Данный раздел/документ содержится в продуктах:
Данный раздел/документ содержится в продуктах:
- Техэксперт: Охрана труда
- Техэксперт: Промышленная безопасность
- Техэксперт: Экология. Проф
- Техэксперт: Нормы, правила, стандарты и законодательство России
- Техэксперт: Нефтегазовый комплекс
- Техэксперт: Машиностроительный комплекс
- Техэксперт: Электроэнергетика
- Техэксперт: Теплоэнергетика
- Стройэксперт. "Вариант Лидер"
- Техэксперт: Эксплуатация зданий
- Стройтехнолог
ФОНОВАЯ КОНЦЕНТРАЦИЯ
Концентрация примеси, создаваемая всеми источниками выбросов, исключая рассматриваемый (ГОСТ 17.2.1.03-84).

(рассчитывается при заданных значениях направления и скорости ветра)
Используется при установлении ПДВ; при проектировании строительства новых и реконструкции действующих объектов промышленности.



