Нецентральное t-распределение
Список продуктов
Данный раздел/документ содержится в продуктах:
Данный раздел/документ содержится в продуктах:
- Техэксперт: Нормы, правила, стандарты и законодательство России
- Техэксперт: Нефтегазовый комплекс
- Техэксперт: Машиностроительный комплекс
- Техэксперт: Электроэнергетика
- Техэксперт: Теплоэнергетика
- Стройэксперт. "Вариант Лидер"
- Техэксперт: Эксплуатация зданий
- Стройтехнолог
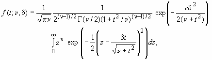
НЕЦЕНТРАЛЬНОЕ T-РАСПРЕДЕЛЕНИЕ
(noncentral -distribution):
Распределение вероятностей непрерывной случайной величины , принимающей значения от
до
, плотность распределения которой имеет вид

где с числом степеней свободы
и параметром нецентральности
.



