Сила света
Список продуктов
Данный раздел/документ содержится в продуктах:
Данный раздел/документ содержится в продуктах:
- Техэксперт: Охрана труда
- Техэксперт: Промышленная безопасность
- Техэксперт: Нормы, правила, стандарты и законодательство России
- Техэксперт: Нефтегазовый комплекс
- Техэксперт: Машиностроительный комплекс
- Техэксперт: Электроэнергетика
- Техэксперт: Теплоэнергетика
- Стройэксперт. "Вариант Лидер"
- Техэксперт: Эксплуатация зданий
- Стройтехнолог
СИЛА СВЕТА
Luminous intensity
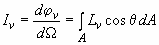
Физическая величина, определяемая отношением светового потока, распространяющегося от источника света внутри малого телесного угла, содержащего рассматриваемое направление, к этому углу:

(ГОСТ 26148).
Примечание. Различают силу света элемента отображения информации знакосинтезирующего индикатора и силу света знакосинтезирующего индикатора, равную световому потоку от всех элементов отображения.



