Коэффициент контраста (знакосинтезирующего индикатора) [элемента отображения (информации знакосинтезирующего индикатора)]
Список продуктов
Данный раздел/документ содержится в продуктах:
Данный раздел/документ содержится в продуктах:
- Техэксперт: Нормы, правила, стандарты и законодательство России
- Техэксперт: Нефтегазовый комплекс
- Техэксперт: Машиностроительный комплекс
КОЭФФИЦИЕНТ КОНТРАСТА (ЗНАКОСИНТЕЗИРУЮЩЕГО ИНДИКАТОРА) [ЭЛЕМЕНТА ОТОБРАЖЕНИЯ (ИНФОРМАЦИИ ЗНАКОСИНТЕЗИРУЮЩЕГО ИНДИКАТОРА)]
[
]
Отношение разности яркости знакосинтезирующего индикатора [элемента отображения информации знакосинтезирующего индикатора] и яркости собственного фона индикатора к яркости индикатора [элемента отображения].
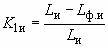
Примечание. Коэффициент контраста индикатора рассчитывают по формуле
.



