Яркость (знакосинтезирующего индикатора)
Список продуктов
Данный раздел/документ содержится в продуктах:
Данный раздел/документ содержится в продуктах:
- Техэксперт: Нормы, правила, стандарты и законодательство России
- Техэксперт: Нефтегазовый комплекс
- Техэксперт: Машиностроительный комплекс
ЯРКОСТЬ (ЗНАКОСИНТЕЗИРУЮЩЕГО ИНДИКАТОРА)
Среднее по площади значение яркости элементов отображения информации знакосинтезирующего индикатора одного цвета свечения.
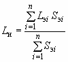
Примечание. Яркость может быть измерена на всех элементах отображения одновременно или на отдельных элементах отображения и в этом случае рассчитана по формуле
,
где - яркость
-гo элемента отображения;



