Число Рейнольдса
Список продуктов
Данный раздел/документ содержится в продуктах:
Данный раздел/документ содержится в продуктах:
- Техэксперт: Промышленная безопасность
- Техэксперт: Нормы, правила, стандарты и законодательство России
- Техэксперт: Нефтегазовый комплекс
- Техэксперт: Машиностроительный комплекс
- Техэксперт: Электроэнергетика
- Техэксперт: Теплоэнергетика
- Стройэксперт. "Вариант Лидер"
- Техэксперт: Эксплуатация зданий
- Стройтехнолог
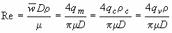
ЧИСЛО РЕЙНОЛЬДСА
Отношение силы инерции к силе вязкости потока, рассчитываемое по формуле
.
ЧИСЛО РЕЙНОЛЬДСА
Отношение силы инерции к вязкости:
или
(2.3.1.1)



