Пороговая глубина стереоскопического зрения телескопического наблюдательного прибора
Список продуктов
Данный раздел/документ содержится в продуктах:
Данный раздел/документ содержится в продуктах:
- Техэксперт: Нормы, правила, стандарты и законодательство России
- Техэксперт: Нефтегазовый комплекс
- Техэксперт: Машиностроительный комплекс
ПОРОГОВАЯ ГЛУБИНА СТЕРЕОСКОПИЧЕСКОГО ЗРЕНИЯ ТЕЛЕСКОПИЧЕСКОГО НАБЛЮДАТЕЛЬНОГО ПРИБОРА
()
Наименьшее расстояние по глубине между предметами, воспринимаемое стереоскопическим зрением при наблюдении через телескопический наблюдательный прибор.
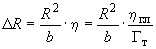
Примечание - Пороговую глубину стереоскопического зрения определяют по формуле
"ГОСТ Р 50701-94 Приборы наблюдательные телескопические. Термины и определения" от 06.09.1994 г.



