Альгинат
Список продуктов
Данный раздел/документ содержится в продуктах:
Данный раздел/документ содержится в продуктах:
- Техэксперт: Нормы, правила, стандарты и законодательство России
- Техэксперт: Нефтегазовый комплекс
- Техэксперт: Машиностроительный комплекс
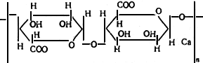
АЛЬГИНАТ
Волокно из солей металлов альгиновой кислоты
Альгинат кальция:
"ГОСТ 30102-93 Волокна химические. Термины и определения" от 10.04.1994 г.



