Купро
Список продуктов
Данный раздел/документ содержится в продуктах:
Данный раздел/документ содержится в продуктах:
- Техэксперт: Нормы, правила, стандарты и законодательство России
- Техэксперт: Нефтегазовый комплекс
- Техэксперт: Машиностроительный комплекс
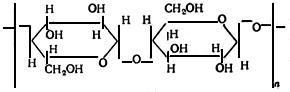
КУПРО
Волокно из целлюлозы, полученное в медно-аммиачном процессе
Целлюлоза II:
_______________
Используемое в некоторых странах наименование "rayon" или по французски "rayonne" для волокон из целлюлозы в настоящем международном стандарте не использовано, поскольку оно не распространено повсеместно. Каждый комитет-член сам определяет отношение к этому вопросу и при необходимости отражает его в национальном стандарте.
"ГОСТ 30102-93 Волокна химические. Термины и определения" от 10.04.1994 г.



