Вискозное волокно
Список продуктов
Данный раздел/документ содержится в продуктах:
Данный раздел/документ содержится в продуктах:
- Техэксперт: Нормы, правила, стандарты и законодательство России
- Техэксперт: Нефтегазовый комплекс
- Техэксперт: Машиностроительный комплекс
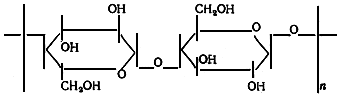
ВИСКОЗНОЕ ВОЛОКНО
En viscosa
fr viscose
Волокно из целлюлозы, полученное вискозным способом
Целлюлоза:
"ГОСТ 30102-93 Волокна химические. Термины и определения" от 10.04.1994 г.
ВИСКОЗНЫЕ ВОЛОКНА
Волокна гидратцеллюлозные, полученные вискозным способом
СТ СЭВ от 01.12.1978 г. N 1465-78 "СТ СЭВ 1465-78 Волокна химические. Термины и определения"



