Линейный индекс газохроматографического удерживания
Список продуктов
Данный раздел/документ содержится в продуктах:
Данный раздел/документ содержится в продуктах:
- Техэксперт: Нормы, правила, стандарты и законодательство России
- Техэксперт: Нефтегазовый комплекс
- Техэксперт: Машиностроительный комплекс
- Техэксперт: Электроэнергетика
- Техэксперт: Теплоэнергетика
ЛИНЕЙНЫЙ ИНДЕКС ГАЗОХРОМАТОГРАФИЧЕСКОГО УДЕРЖИВАНИЯ
Линейный индекс удерживания
Величина, полученная путем линейной интерполяции, характеризующая положение максимумов пиков нормальных парафинов.
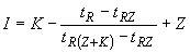
Примечание. Линейный индекс газохроматографического удерживания определяют по формуле
,
где - время удерживания нормального парафина с числом углеродных атомов в молекуле
;



