Абсолютный удельный удерживаемый газохроматографический объем
Список продуктов
Данный раздел/документ содержится в продуктах:
Данный раздел/документ содержится в продуктах:
- Техэксперт: Нормы, правила, стандарты и законодательство России
- Техэксперт: Нефтегазовый комплекс
- Техэксперт: Машиностроительный комплекс
- Техэксперт: Электроэнергетика
- Техэксперт: Теплоэнергетика
АБСОЛЮТНЫЙ УДЕЛЬНЫЙ УДЕРЖИВАЕМЫЙ ГАЗОХРОМАТОГРАФИЧЕСКИЙ ОБЪЕМ
Абсолютный удельный удерживаемый объем
Удельный удерживаемый газохроматографический объем, приведенный к температуре 273,15 К.
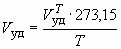
Примечание. Абсолютный удельный удерживаемый газохроматографический объем определяют по формуле
,
где - температура газохроматографической колонки, К
"ГОСТ 17567-81 Хроматография газовая. Термины и определения" от 09.06.1981 г.



