Эффективная модальная масса
Список продуктов
Данный раздел/документ содержится в продуктах:
Данный раздел/документ содержится в продуктах:
- Техэксперт: Пожарная безопасность
- Техэксперт: Нормы, правила, стандарты и законодательство России
- Техэксперт: Нефтегазовый комплекс
- Техэксперт: Машиностроительный комплекс
- Техэксперт: Электроэнергетика
- Техэксперт: Теплоэнергетика
- Стройэксперт. "Вариант Лидер"
- Техэксперт: Эксплуатация зданий
- Стройтехнолог
ЭФФЕКТИВНАЯ МОДАЛЬНАЯ МАССА
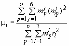
Доля массы сооружения, участвующей в динамической реакции по определенной форме колебаний при заданном направлении сейсмического воздействия в виде смещения основания как абсолютно жесткого тела. Значение эффективной массы в долях единицы вычисляют по формуле
.
Наряду с безразмерной величиной можно применять значение эффективной модальной массы в % (·100%).
ЭФФЕКТИВНАЯ МОДАЛЬНАЯ МАССА



