Статистическая функция распределения
Список продуктов
Данный раздел/документ содержится в продуктах:
Данный раздел/документ содержится в продуктах:
- Техэксперт: Нормы, правила, стандарты и законодательство России
- Техэксперт: Нефтегазовый комплекс
- Техэксперт: Машиностроительный комплекс
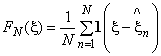
СТАТИСТИЧЕСКАЯ ФУНКЦИЯ РАСПРЕДЕЛЕНИЯ
(Ступенчатая) функция переменной , параметрами которой являются члены статистического ряда:
,
где
- единичная функция.



