Стандартное отклонение для пробы
Список продуктов
Данный раздел/документ содержится в продуктах:
Данный раздел/документ содержится в продуктах:
- Техэксперт: Нормы, правила, стандарты и законодательство России
- Техэксперт: Нефтегазовый комплекс
- Техэксперт: Машиностроительный комплекс
- Техэксперт: Электроэнергетика
- Техэксперт: Теплоэнергетика
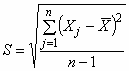
СТАНДАРТНОЕ ОТКЛОНЕНИЕ ДЛЯ ПРОБЫ
(sample standard deviation)
Корень квадратный из суммы квадратов отдельных отклонений от среднего значения для пробы, деленный на число полученных результатов минус единица, т.е.:
,
где S - стандартное отклонение пробы;
n - число полученных результатов;
X - j-й отдельный результат;



