Масштабный множитель
Список продуктов
Данный раздел/документ содержится в продуктах:
Данный раздел/документ содержится в продуктах:
- Техэксперт: Охрана труда
- Техэксперт: Нормы, правила, стандарты и законодательство России
- Техэксперт: Нефтегазовый комплекс
- Техэксперт: Машиностроительный комплекс
МАСШТАБНЫЙ МНОЖИТЕЛЬ
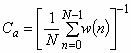
Поправочный коэффициент, зависящий от вида оконной функции, на который следует умножать полученный спектр узкополосного сигнала.
Примечание - Масштабный множитель может быть рассчитан по формуле
,
где - оконная функция.



