0 продуктов

Авторизация

Число Рейнольдса вентилятора

Список продуктов
Данный раздел/документ содержится в продуктах:


ЧИСЛО РЕЙНОЛЬДСА ВЕНТИЛЯТОРА

(fan Reynolds number),

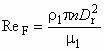
Произведение окружной скорости вентилятора, входной плотности и диаметра вентилятора, деленное на динамическую вязкость среды на входе в вентилятор:

.

Примечание - Условная величина, используемая как масштабный параметр.

"ГОСТ ISO 5802-2012 Вентиляторы промышленные. Испытания в условиях эксплуатации" от 06.09.2013 г.

Категории продуктов

 

 

 

Знакомьтесь, "Техэксперт"

 Техэксперт для iPad

 Для Android

АКЦИЯ!

Бесплатный доступ