Работа вентилятора на единицу массы
Список продуктов
Данный раздел/документ содержится в продуктах:
Данный раздел/документ содержится в продуктах:
- Техэксперт: Нормы, правила, стандарты и законодательство России
- Техэксперт: Нефтегазовый комплекс
- Техэксперт: Машиностроительный комплекс
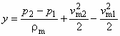
РАБОТА ВЕНТИЛЯТОРА НА ЕДИНИЦУ МАССЫ
(fan work per unit mass),
Увеличение механической энергии на единицу массы среды, проходящей через вентилятор:
.
Примечание - может быть вычислено, как в 3.1.57.
"ГОСТ ISO 5802-2012 Вентиляторы промышленные. Испытания в условиях эксплуатации" от 06.09.2013 г.
РАБОТА ВЕНТИЛЯТОРА НА ЕДИНИЦУ МАССЫ



