Динамическое давление вентилятора
Список продуктов
Данный раздел/документ содержится в продуктах:
Данный раздел/документ содержится в продуктах:
- Техэксперт: Нормы, правила, стандарты и законодательство России
- Техэксперт: Нефтегазовый комплекс
- Техэксперт: Машиностроительный комплекс
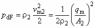
ДИНАМИЧЕСКОЕ ДАВЛЕНИЕ ВЕНТИЛЯТОРА
(fan dynamic pressure),
Условное динамическое давление на выходе из вентилятора, рассчитанное по массовому расходу, средней плотности на выходе и выходной площади вентилятора
.
"ГОСТ ISO 5802-2012 Вентиляторы промышленные. Испытания в условиях эксплуатации" от 06.09.2013 г.



