0 продуктов

Авторизация

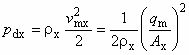
Среднее динамическое давление в сечении x

Список продуктов
Данный раздел/документ содержится в продуктах:


СРЕДНЕЕ ДИНАМИЧЕСКОЕ ДАВЛЕНИЕ В СЕЧЕНИИ X

(conventional dynamic pressure at a section ),

Динамическое давление, вычисленное по средней скорости и средней плотности в выбранном поперечном сечении воздуховода

.

"ГОСТ ISO 5802-2012 Вентиляторы промышленные. Испытания в условиях эксплуатации" от 06.09.2013 г.

Категории продуктов

 

 

 

Знакомьтесь, "Техэксперт"

 Техэксперт для iPad

 Для Android

АКЦИЯ!

Бесплатный доступ