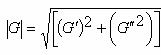
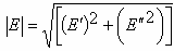
Абсолютная величина комплексного модуля упругости
Список продуктов
Данный раздел/документ содержится в продуктах:
Данный раздел/документ содержится в продуктах:
- Техэксперт: Нормы, правила, стандарты и законодательство России
- Техэксперт: Нефтегазовый комплекс
- Техэксперт: Машиностроительный комплекс
АБСОЛЮТНАЯ ВЕЛИЧИНА КОМПЛЕКСНОГО МОДУЛЯ УПРУГОСТИ
(magnitude of complex modulus)
Модуль модуля упругости как комплексной величины.
Примечание - Для разных модулей упругости их абсолютная величина определяется следующим образом:
а) для модуля Юнга
;
b) для модуля сдвига
;



