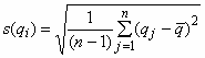
Стандартное отклонение одного измерения в серии измерений
Список продуктов
Данный раздел/документ содержится в продуктах:
Данный раздел/документ содержится в продуктах:
- Техэксперт: Нормы, правила, стандарты и законодательство России
- Техэксперт: Нефтегазовый комплекс
- Техэксперт: Машиностроительный комплекс
- Техэксперт: Электроэнергетика
- Техэксперт: Теплоэнергетика
- Стройэксперт. "Вариант Лидер"
- Техэксперт: Эксплуатация зданий
- Стройтехнолог
СТАНДАРТНОЕ ОТКЛОНЕНИЕ ОДНОГО ИЗМЕРЕНИЯ В СЕРИИ ИЗМЕРЕНИЙ
(standard deviation of а single measurement in a series of measurement)
Параметр, характеризующий разброс результата, полученный в серии из n измерений одной и той же измеряемой величины
,
где среднее значение n измерений.
[Руководство ISO/IEC 98-3:2008, термин В.2.17, измененный - Термин, определение и уравнение были изменены, а примечания 1-4 удалены]



