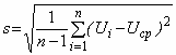
Среднеквадратичное отклонение разрядных напряжений
Список продуктов
Данный раздел/документ содержится в продуктах:
Данный раздел/документ содержится в продуктах:
- Техэксперт: Нормы, правила, стандарты и законодательство России
- Техэксперт: Нефтегазовый комплекс
- Техэксперт: Машиностроительный комплекс
- Техэксперт: Электроэнергетика
- Техэксперт: Теплоэнергетика
- Стройэксперт. "Вариант Лидер"
- Техэксперт: Эксплуатация зданий
- Стройтехнолог
СРЕДНЕКВАДРАТИЧНОЕ ОТКЛОНЕНИЕ РАЗРЯДНЫХ НАПРЯЖЕНИЙ
:
Мера разброса разрядных напряжений от среднего арифметического значения
,
где - измеренное i-е значение разрядного напряжения;
- среднее арифметическое значение разрядного напряжения;



