Стандартизованный фактический уровень звукового давления ударного шума
Список продуктов
Данный раздел/документ содержится в продуктах:
Данный раздел/документ содержится в продуктах:
- Техэксперт: Нормы, правила, стандарты и законодательство России
- Техэксперт: Нефтегазовый комплекс
- Техэксперт: Машиностроительный комплекс
- Стройэксперт. "Вариант Лидер"
- Техэксперт: Эксплуатация зданий
- Стройтехнолог
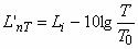
СТАНДАРТИЗОВАННЫЙ ФАКТИЧЕСКИЙ УРОВЕНЬ ЗВУКОВОГО ДАВЛЕНИЯ УДАРНОГО ШУМА
(standardized impact sound pressure level) , дБ:
Уровень звукового давления ударного шума с учетом косвенной звукопередачи, соответствующий времени реверберации приемного помещения, рассчитываемый по формуле
,
где - время реверберации приемного помещения, с;
- стандартное время реверберации (для жилых помещений
=0,5 с).



