Пороговое приращение яркости
Список продуктов
Данный раздел/документ содержится в продуктах:
Данный раздел/документ содержится в продуктах:
- Техэксперт: Охрана труда
- Техэксперт: Пожарная безопасность
- Техэксперт: Нормы, правила, стандарты и законодательство России
- Техэксперт: Нефтегазовый комплекс
- Техэксперт: Машиностроительный комплекс
- Техэксперт: Электроэнергетика
- Техэксперт: Теплоэнергетика
- Стройэксперт. "Вариант Лидер"
- Техэксперт: Эксплуатация зданий
- Стройтехнолог
ПОРОГОВОЕ ПРИРАЩЕНИЕ ЯРКОСТЕЙ
, %
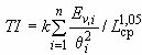
Критерий, регламентирующий слепящее действие светильников в поле зрения водителя транспортного средства, определяется по формуле
,
где - средняя яркость дорожного покрытия, кд/м
;
- множитель, равный 950 при
5 кд/м
и 650 при
5 кд/м
;
- вертикальная освещенность на глазу водителя от
-го светильника, лк;
- угол между направлением на
-й светильник и линией зрения, градусы;
- число светильников, попадающих в поле зрения водителя в пределах изменения угла
(2°
20°).



