0 продуктов

Авторизация

Стандартизованная разность уровней


СТАНДАРТИЗОВАННАЯ РАЗНОСТЬ УРОВНЕЙ

(standardized level difference) , дБ:

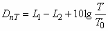
Разность средних уровней звукового давления шума в двух помещениях, созданного расположенными в одном из помещений одним или несколькими источниками шума, отнесенная ко времени реверберации приемного помещения и рассчитываемая по формуле

,                    

где  - время реверберации приемного помещения, с;

Категории продуктов

 

 

 

Знакомьтесь, "Техэксперт"

 Техэксперт для iPad

 Для Android

АКЦИЯ!

Бесплатный доступ