Дифференциальный коэффициент линейного теплового расширения
Список продуктов
Данный раздел/документ содержится в продуктах:
Данный раздел/документ содержится в продуктах:
- Техэксперт: Нормы, правила, стандарты и законодательство России
- Техэксперт: Нефтегазовый комплекс
- Техэксперт: Машиностроительный комплекс
- Техэксперт: Электроэнергетика
- Техэксперт: Теплоэнергетика
- Стройэксперт. "Вариант Лидер"
- Техэксперт: Эксплуатация зданий
- Стройтехнолог
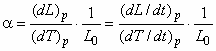
ДИФФЕРЕНЦИАЛЬНЫЙ КОЭФФИЦИЕНТ ЛИНЕЙНОГО ТЕПЛОВОГО РАСШИРЕНИЯ
:
Коэффициент линейного теплового расширения для любого из трех размеров образца при температуре и при постоянном давлении
, К
(°С
), определяемый по формуле:
,



