Осевая кривизна
Список продуктов
Данный раздел/документ содержится в продуктах:
Данный раздел/документ содержится в продуктах:
- Техэксперт: Нормы, правила, стандарты и законодательство России
- Техэксперт: Нефтегазовый комплекс
- Техэксперт: Машиностроительный комплекс
ОСЕВАЯ КРИВИЗНА
(axial curvature);
(вычисляют по меридиональной кривизне)
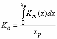
Среднее значение тангенциальной кривизны от вершины роговицы до центра кривизны меридиана, которую определяют по формуле
,
где - координата, зависящая от меридиана;



