0 продуктов

Авторизация

Стандартное отклонение погрешности

Список продуктов
Данный раздел/документ содержится в продуктах:


СТАНДАРТНОЕ ОТКЛОНЕНИЕ ПОГРЕШНОСТИ

(standard deviation of the error)

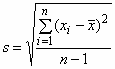
Стандартное отклонение погрешности (показания) ряда последовательных автоматических взвешиваний одной нагрузки или нескольких подобных нагрузок, поступивших на грузоприемное устройство, рассчитываемое по формуле



"ГОСТ Р 54796-2011 Устройства весоизмерительные автоматические. Часть 1. Метрологические и технические требования. Методы испытаний" от 13.12.2011 г.

Категории продуктов

 

 

 

Знакомьтесь, "Техэксперт"

 Техэксперт для iPad

 Для Android

АКЦИЯ!

Бесплатный доступ