Частичный взвешенный коэффициент нелинейных искажений
Список продуктов
Данный раздел/документ содержится в продуктах:
Данный раздел/документ содержится в продуктах:
- Техэксперт: Нормы, правила, стандарты и законодательство России
- Техэксперт: Нефтегазовый комплекс
- Техэксперт: Машиностроительный комплекс
- Стройэксперт. "Вариант Лидер"
- Техэксперт: Эксплуатация зданий
- Стройтехнолог
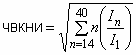
ЧАСТИЧНЫЙ ВЗВЕШЕННЫЙ КОЭФФИЦИЕНТ НЕЛИНЕЙНЫХ ИСКАЖЕНИЙ
ЧВКНИ:
Отношение среднеквадратичного значения суммы выделенных гармонических составляющих тока высокого порядка (начиная от 14-го порядка), взятых с коэффициентами, равными порядку гармоники, к среднеквадратичному значению тока основной частоты.
Примечание - ЧВКНИ вычисляют по формуле
.



