Эквивалентная доза, ожидаемая при внутреннем облучении
Список продуктов
Данный раздел/документ содержится в продуктах:
Данный раздел/документ содержится в продуктах:
- Техэксперт: Охрана труда
- Техэксперт: Нормы, правила, стандарты и законодательство России
- Техэксперт: Нефтегазовый комплекс
- Техэксперт: Машиностроительный комплекс
- Техэксперт: Электроэнергетика
- Техэксперт: Теплоэнергетика
- Стройэксперт. "Вариант Лидер"
- Техэксперт: Эксплуатация зданий
- Стройтехнолог
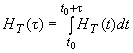
ЭКВИВАЛЕНТНАЯ ДОЗА, ОЖИДАЕМАЯ ПРИ ВНУТРЕННЕМ ОБЛУЧЕНИИ
En expected equivalent dose
Эквивалентная доза за время , прошедшее после времени
поступления радиоактивных веществ в организм
,



