Линейная передача энергии
Список продуктов
Данный раздел/документ содержится в продуктах:
Данный раздел/документ содержится в продуктах:
- Техэксперт: Охрана труда
- Техэксперт: Нормы, правила, стандарты и законодательство России
- Техэксперт: Нефтегазовый комплекс
- Техэксперт: Машиностроительный комплекс
- Техэксперт: Электроэнергетика
- Техэксперт: Теплоэнергетика
- Стройэксперт. "Вариант Лидер"
- Техэксперт: Эксплуатация зданий
- Стройтехнолог
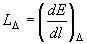
ЛИНЕЙНАЯ ПЕРЕДАЧА ЭНЕРГИИ
[ЛПЭ]
en linear energy transfer [LET]
Отношение энергии , локально переданной среде заряженной частицей вследствие столкновения на элементарном пути
, к длине этого пути
,



