Суммарная льдистость мерзлого грунта
Список продуктов
Данный раздел/документ содержится в продуктах:
Данный раздел/документ содержится в продуктах:
- Техэксперт: Нормы, правила, стандарты и законодательство России
- Техэксперт: Нефтегазовый комплекс
- Техэксперт: Машиностроительный комплекс
- Техэксперт: Электроэнергетика
- Техэксперт: Теплоэнергетика
- Стройэксперт. "Вариант Лидер"
- Техэксперт: Эксплуатация зданий
- Стройтехнолог
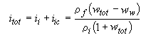
СУММАРНАЯ ЛЬДИСТОСТЬ МЕРЗЛОГО ГРУНТА
, д.е.
Отношение содержащегося в нем объема льда к объему мерзлого грунта. Определяется по формуле
. (А.10)



