0 продуктов

Авторизация

Выборочная ковариация

Список продуктов
Данный раздел/документ содержится в продуктах:


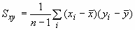
ВЫБОРОЧНАЯ КОВАРИАЦИЯ

Сумма произведений отклонений и от их соответствующих средних арифметических, деленная на число наблюдаемых пар без единицы:

,

где  - число наблюдаемых пар.

Примечание - Выборочная ковариация - это несмещенная оценка ковариации совокупности

en sample covariance

fr covariance

Категории продуктов

 

 

 

Знакомьтесь, "Техэксперт"

 Техэксперт для iPad

 Для Android

АКЦИЯ!

Бесплатный доступ