Двумерное нормальное распределение; двумерное распределение Лапласа - Гаусса
Список продуктов
Данный раздел/документ содержится в продуктах:
Данный раздел/документ содержится в продуктах:
- Техэксперт: Охрана труда
- Техэксперт: Нормы, правила, стандарты и законодательство России
- Техэксперт: Нефтегазовый комплекс
- Техэксперт: Машиностроительный комплекс
- Техэксперт: Электроэнергетика
- Техэксперт: Теплоэнергетика
- Стройэксперт. "Вариант Лидер"
- Техэксперт: Эксплуатация зданий
- Стройтехнолог
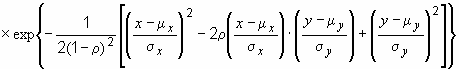
ДВУМЕРНОЕ НОРМАЛЬНОЕ РАСПРЕДЕЛЕНИЕ; ДВУМЕРНОЕ РАСПРЕДЕЛЕНИЕ ЛАПЛАСА - ГАУССА
Распределение вероятностей двух непрерывных случайных величин и
такое, что плотность распределения вероятностей


при и
,



