Распределение Пуассона
Список продуктов
Данный раздел/документ содержится в продуктах:
Данный раздел/документ содержится в продуктах:
- Техэксперт: Охрана труда
- Техэксперт: Нормы, правила, стандарты и законодательство России
- Техэксперт: Нефтегазовый комплекс
- Техэксперт: Машиностроительный комплекс
- Техэксперт: Электроэнергетика
- Техэксперт: Теплоэнергетика
- Стройэксперт. "Вариант Лидер"
- Техэксперт: Эксплуатация зданий
- Стройтехнолог
РАСПРЕДЕЛЕНИЕ ПУАССОНА
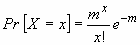
Распределение вероятностей дискретной случайной величины такое, что
,
при и параметре
.
Примечания
1 Математическое ожидание и дисперсия распределения Пуассона оба равны параметру .



