T-распределение; распределение Стьюдента
Список продуктов
Данный раздел/документ содержится в продуктах:
Данный раздел/документ содержится в продуктах:
- Техэксперт: Охрана труда
- Техэксперт: Нормы, правила, стандарты и законодательство России
- Техэксперт: Нефтегазовый комплекс
- Техэксперт: Машиностроительный комплекс
- Техэксперт: Электроэнергетика
- Техэксперт: Теплоэнергетика
- Стройэксперт. "Вариант Лидер"
- Техэксперт: Эксплуатация зданий
- Стройтехнолог
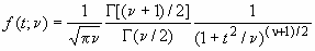
T-РАСПРЕДЕЛЕНИЕ
(-distribution):
Распределение вероятностей непрерывной случайной величины , принимающей значения от
до
, плотность распределения которой имеет вид
_______________
* Распределение Стьюдента.
,



