Степень рассогласования нагрузки при параллельной работе двигателей
Список продуктов
Данный раздел/документ содержится в продуктах:
Данный раздел/документ содержится в продуктах:
- Техэксперт: Нормы, правила, стандарты и законодательство России
- Техэксперт: Нефтегазовый комплекс
- Техэксперт: Машиностроительный комплекс
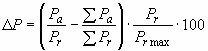
СТЕПЕНЬ РАССОГЛАСОВАНИЯ НАГРУЗКИ ПРИ ПАРАЛЛЕЛЬНОЙ РАБОТЕ ДВИГАТЕЛЕЙ
, %:
Наибольшая разность относительных нагрузок данного двигателя и групповой силовой установки.
, (4)
где - фиксированная нагрузка двигателя;



