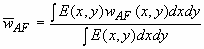
Взвешенная средняя квадратическая деформация
Список продуктов
Данный раздел/документ содержится в продуктах:
Данный раздел/документ содержится в продуктах:
- Техэксперт: Нормы, правила, стандарты и законодательство России
- Техэксперт: Нефтегазовый комплекс
- Техэксперт: Машиностроительный комплекс
ВЗВЕШЕННАЯ СРЕДНЯЯ КВАДРАТИЧЕСКАЯ ДЕФОРМАЦИЯ
(weighted RMS deformation);
Взвешенное по облученности среднее квадратическое значение погрешности определения волнового фронта (irradiance weighted RMS wavefront error);
Корень квадратный взвешенной по распределению мощности (энергии) разности локальных значений функции аберраций волнового фронта и ее среднего значения.
Примечание -
,
где
.



