0 продуктов

Авторизация

Коэффициент поглощения светового потока

Список продуктов
Данный раздел/документ содержится в продуктах:


КОЭФФИЦИЕНТ ПОГЛОЩЕНИЯ СВЕТОВОГО ПОТОКА

Light absorption coefficient





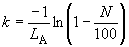
Величина, определяемая по закону Бугера-Ламберта-Бера





Или





Примечания

Категории продуктов

 

 

 

Знакомьтесь, "Техэксперт"

 Техэксперт для iPad

 Для Android

АКЦИЯ!

Бесплатный доступ