Дисперсия Аллана для непрерывного лазерного излучения
Список продуктов
Данный раздел/документ содержится в продуктах:
Данный раздел/документ содержится в продуктах:
- Техэксперт: Нормы, правила, стандарты и законодательство России
- Техэксперт: Нефтегазовый комплекс
- Техэксперт: Машиностроительный комплекс
ДИСПЕРСИЯ АЛЛАНА ДЛЯ НЕПРЕРЫВНОГО ЛАЗЕРНОГО ИЗЛУЧЕНИЯ
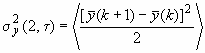
Дисперсия двух выборочных значений флуктуаций частоты при времени усреднения , описанная формулой
,
где - усреднение по бесконечной выборке данных;



