Разброс тона в средних тонах
Список продуктов
Данный раздел/документ содержится в продуктах:
Данный раздел/документ содержится в продуктах:
- Техэксперт: Нормы, правила, стандарты и законодательство России
- Техэксперт: Нефтегазовый комплекс
- Техэксперт: Машиностроительный комплекс
РАЗБРОС ТОНА В СРЕДНИХ ТОНАХ
(mid-tone spread)
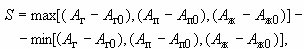
Величина, которая определяется следующим уравнением:

где - измеренное значение тона голубого цветоделенного изображения;
- исходное значение тона голубого цветоделенного изображения;



