Среднее весовое (значение результата геодезических измерений)
Список продуктов
Данный раздел/документ содержится в продуктах:
Данный раздел/документ содержится в продуктах:
- Техэксперт: Нормы, правила, стандарты и законодательство России
- Техэксперт: Нефтегазовый комплекс
- Техэксперт: Машиностроительный комплекс
- Стройэксперт. "Вариант Лидер"
- Техэксперт: Эксплуатация зданий
- Стройтехнолог
СРЕДНЕЕ ВЕСОВОЕ (ЗНАЧЕНИЕ РЕЗУЛЬТАТА ГЕОДЕЗИЧЕСКИХ ИЗМЕРЕНИЙ)
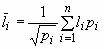
Оценка значения измеренной геодезической величины из многократных неравноточных независимых измерений, получаемая по формуле
,
где - результат отдельного измерения,
- вес результата измерения,
- количество измерений.



