Утонение призмы
Список продуктов
Данный раздел/документ содержится в продуктах:
Данный раздел/документ содержится в продуктах:
- Техэксперт: Нормы, правила, стандарты и законодательство России
- Техэксперт: Нефтегазовый комплекс
- Техэксперт: Машиностроительный комплекс
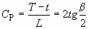
УТОНЕНИЕ ПРИЗМЫ
(rate of prism) :
Отношение разности толщин и
призмы в двух определенных поперечных сечениях к расстоянию
между этими сечениями (см. рисунок 3):
.



