Приведенный уровень звукового давления ударного шума
Список продуктов
Данный раздел/документ содержится в продуктах:
Данный раздел/документ содержится в продуктах:
- Техэксперт: Нормы, правила, стандарты и законодательство России
- Техэксперт: Нефтегазовый комплекс
- Техэксперт: Машиностроительный комплекс
- Техэксперт: Электроэнергетика
- Техэксперт: Теплоэнергетика
- Стройэксперт. "Вариант Лидер"
- Техэксперт: Эксплуатация зданий
- Стройтехнолог
ПРИВЕДЕННЫЙ УРОВЕНЬ ЗВУКОВОГО ДАВЛЕНИЯ УДАРНОГО ШУМА
(normalized impact sound pressure level) , дБ:
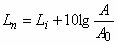
Уровень звукового давления ударного шума с учетом поправки на эквивалентную площадь звукопоглощения приемного помещения, рассчитываемый по формуле
,
где - средний уровень звукового давления ударного шума в приемном помещении, созданный с использованием стандартной ударной машины в соответствии с ЕН ИСО 140-7, дБ;



