Мера сходства
Список продуктов
Данный раздел/документ содержится в продуктах:
Данный раздел/документ содержится в продуктах:
- Техэксперт: Нормы, правила, стандарты и законодательство России
- Техэксперт: Нефтегазовый комплекс
- Техэксперт: Машиностроительный комплекс
МЕРА СХОДСТВА
Величина, вычисляемая по формулам (1)-(3).
- для спектров поглощения:
, (1)
- для спектров возбуждения люминесценции:
, (2)
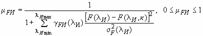
- для спектров люминесценции:
, (3)



