0 продуктов

Авторизация

Альгинатные кальциевые волокна

Список продуктов
Данный раздел/документ содержится в продуктах:


АЛЬГИНАТНЫЕ КАЛЬЦИЕВЫЕ ВОЛОКНА

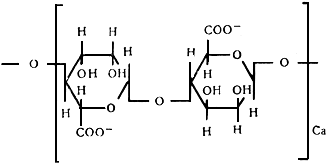
Волокна альгинатные со структурной формулой элементарного звена

СТ СЭВ от 01.12.1978 г. N 1465-78 "СТ СЭВ 1465-78 Волокна химические. Термины и определения"

Категории продуктов

 

 

 

Знакомьтесь, "Техэксперт"

 Техэксперт для iPad

 Для Android

АКЦИЯ!

Бесплатный доступ