0 продуктов

Авторизация

Среднее арифметическое отклонение от заданного положения рабочего органа

Список продуктов
Данный раздел/документ содержится в продуктах:

    
     
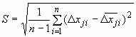
СРЕДНЕЕ АРИФМЕТИЧЕСКОЕ ОТКЛОНЕНИЕ ОТ ЗАДАННОГО ПОЛОЖЕНИЯ РАБОЧЕГО ОРГАНА


, где - результат отдельного измерения.

Среднее квадратическое отклонение от заданного положения рабочего органа:

.

Наибольшее поле рассеяния отклонений от заданного положения рабочего органа при 10, где зависит от

Категории продуктов

 

 

 

Знакомьтесь, "Техэксперт"

 Техэксперт для iPad

 Для Android

АКЦИЯ!

Бесплатный доступ